
慧聪LED屏网报道
我们知道led显示屏怕热、怕水,热对led显示屏性能的影响是致命的,直接影响显示屏使用过程的稳定性以及显示屏的使用寿命。因此,为了减少热量对显示屏的影响,我们需要清楚显示屏的散热特点,进而对显示屏做出合理的散热设计。针对led显示屏的散热量,本文进行了推导演算,以期对led显示屏的研发设计以及led显示屏的工程安装能起一定的借鉴作用。
一、led显示屏散热量的计算
1、条件设定
设,led显示屏的像素间距为P(单位mm),led显示屏的面积为S(单位m2),LED屏的亮度为L屏(单位cd/m2),led显示屏的输入功率为W屏(单位W)。
设,所用RGB灯珠的光强分别为IR、IG和IB(单位cd),对应的输入功率为WR、WG和WB(单位W)。
2、RGB组成的像素点的光辐射功率计算
计算每一个像素点,在白平衡时能产生的光辐射功率,计算可以如下:
因为在显示屏白平衡时,RLED、GLED和BLED的强度比约为3:6:1,因此对于亮度为L屏(单位cd/m2)的显示屏在白屏的情况下,每个像素点的光强度I像素=L屏(cd/m2)÷点数/m2÷η(η为光的系统损耗度,一般可取0.9左右);则R、G、B所占的光强值分别为:

则led显示屏要达到亮度为L屏的白平衡时,R、G、BLED灯的输入电功率可近似为:

设上述R、G、BLED灯珠芯片的电光转换效率分别为ηr、ηg和ηb(电光转换效率LED芯片将电能转变为光能的效率)。则上述每像素RGBLED辐射的光功率为:

每像素RGBLED产生的热功率为:

3、整块led显示屏光的总辐射功率的计算

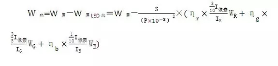
由于显示屏的像素点个数=显示屏的面积/像素间距的平方=,所以,led显示屏辐射的光功率:=W屏 LED 光=显示屏像素点个数×每个像素点产生的光功率=

4、led显示屏产生的热功率
led显示屏产生的热量除来源于LED灯产生的热外,还包括了电子电路、驱动系统等产生的热,整个led显示屏产生的热量的计算可参照以下2个方式。
1)根据显示屏的输入电功率计算

2)估算法计算
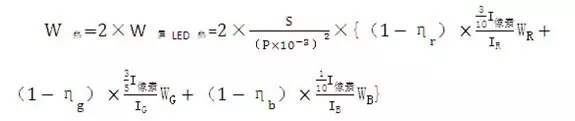
2011年3月版LED屏显世界P100的文献《超低压差LED驱动让led显示屏节能32.8%》中提到:①显示屏LED光源的发热量占整屏发热量约50%;②控制器及连接线等占整屏发热量约5%;③驱动部分发热占整屏发热量约45%。
根据该文献,可以估算出led显示屏产生的热功率:

上述是根据led显示屏最大亮度的条件下,计算得到的led显示屏的热功率,而在led显示屏的实际工作中,由于显示屏不是一直以最大亮度工作,所以产生的热会少些。
二、显示屏散热量在设计中的应用
通过上述推导,计算出了led显示屏的散热量。参照散热量,可以指导我们进行显示屏箱体的散热结构设计以及工程安装时降温系统的设计。如在工程安装时,根据显示屏的散热量,对显示屏降温系统的进风设计可如下:
已知led显示屏产生的热功率为W热,假设显示屏是通过钢结构固定密闭安装,则显示屏与外界环境通过热传导交换的热功率为:

式中:
S:钢结构壳体的面积,m2;
tw:显示屏所处的外界环境温度,℃;
tn:钢结构壳体内部温度,℃。
K:钢结构壳体的传热系数,W/(m?℃):

其中:
ɑ1为钢结构内表面的表面传热系数,W/(m ? ℃);
ɑ2为钢结构外表面的表面传热系数,W/(m ? ℃);
δ1、δ2…为组成钢结构各层材料的厚度,m;
λ1、λ2…为组成钢结构各层材料的导热系数,W/(m ? ℃);
则整个显示屏需要进行空气对流散热的热量为:

由空气进行对流散热的公式:

其中:
C:空气的比热容,kJ/(kg?℃)
ρ:空气的密度,kg/m3
L:空气对流量,m3/s
tn:钢结构壳体内部温度,℃
tl:降温系统输入的冷空气温度,℃
知降温系统需要输入冷空气的进风量:

即如果要保证显示屏的工作温度不超过tn℃,则降温系统需输入温度为tl℃的冷空气的量约为:

交易在这里一触即发,慧聪LED屏网超级商情。

慧聪LED屏网超级商情
版权声明:来源慧聪LED屏网的所有文字、图片和音视频资料,版权均属慧聪LED屏网所有,任何媒体、网站或个人如需转载务必注明"稿件来源:慧聪LED屏网",违者本网将依法追究责任。
免责声明:凡注明来源本网的所有作品,均为本网合法拥有版权或有权使用的作品,欢迎转载,注明出处。非本网作品均来自互联网,转载目的在于传递更多信息,并不代表本网赞同其观点和对其真实性负责。